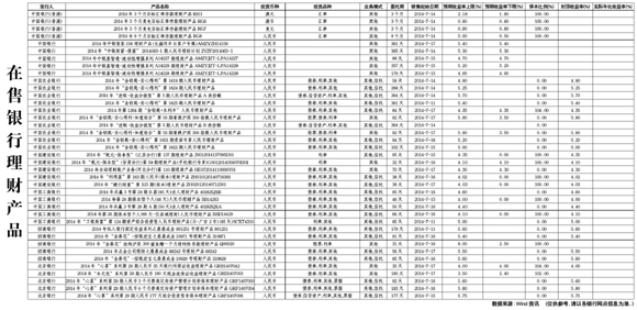
在售银行理财产品[2014-07-18]
2014-07-18 作者:Wind资讯 来源:经济参考报
分享到:
【字号
大
中
小
】
凡标注来源为“经济参考报”或“经济参考网”的所有文字、图片、音视频稿件,及电子杂志等数字媒体产品,版权均属经济参考报社,未经经济参考报社书面授权,不得以任何形式刊载、播放。
集成阅读:
·
零门槛 高收益 票据理财品受追捧
·
定增幕后的银行理财A计划:用理财产品获优先级
·
银行理财产品"暗地"输血地方投资
·
在售银行理财产品[2014-07-11]
·
基金券商海外“淘新”理财产品涌现
频道精选:
·
【思想】
金砖银行促全球金融体系改革
2013-06-14
·
【读书】
互联网金融重构金融业
2014-07-15
·
【财智】
鹏华基金副总辞职 国际业务或现跛脚效应
2014-07-18
·
【深度】
人民币国际化驶入“快车道”
2014-07-18
关于我们
|
版权声明
|
联系我们
|
媒体刊例
|
友情链接
经济参考报社版权所有 本站所有新闻内容未经经济参考报协议授权,禁止转载使用
新闻线索提供热线:
010-63074375 63072334
报社地址:北京市宣武门西大街57号
JJCKB.CN 京ICP证12028708号
分享到
X
腾讯微博
一键通
新浪微博
QQ空间
手机快传
搜狐微博
更多...
b
Share