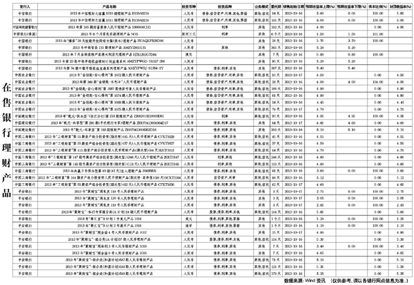
在售银行理财产品[2013-10-18]
2013-10-18 作者:Wind资讯 来源:经济参考报
分享到:
【字号
大
中
小
】
凡标注来源为“经济参考报”或“经济参考网”的所有文字、图片、音视频稿件,及电子杂志等数字媒体产品,版权均属经济参考报社,未经经济参考报社书面授权,不得以任何形式刊载、播放。
相关新闻:
·
年末揽储大战提前 银行理财产品收益仍超5%
2013-10-14
·
银行理财产品提前赎回基本没戏
2013-10-14
·
在售银行理财产品[2013-10-11]
2013-10-11
·
渣打理财产品被指是陷阱 客户买入产品后即跌20%
2013-09-30
·
渣打理财产品客户买入后即跌20%
2013-09-30
频道精选:
·
[财智]
诚信缺失 家乐福超市多种违法手段遭曝光
·
[财智]
归真堂创业板上市 “活熊取胆”引各界争议
·
[思想]
投资回升速度取决于融资进展
·
[思想]
全球债务危机 中国如何自处
·
[读书]
《历史大变局下的中国战略定位》
·
[读书]
秦厉:从迷思到真相
关于我们
|
版权声明
|
联系我们
|
媒体刊例
|
友情链接
经济参考报社版权所有 本站所有新闻内容未经经济参考报协议授权,禁止转载使用
新闻线索提供热线:
010-63074375 63072334
报社地址:北京市宣武门西大街57号
JJCKB.CN 京ICP备12028708号