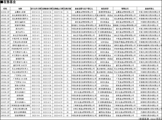
在售基金[2012-04-20]
2012-04-20 作者: 来源:经济参考报
凡标注来源为“经济参考报”或“经济参考网”的所有文字、图片、音视频稿件,及电子杂志等数字媒体产品,版权均属新华社经济参考报社,未经书面授权,不得以任何形式刊载、播放。
相关新闻:
·
在售基金[2012-04-13]
2012-04-13
·
在售基金[2012-04-06]
2012-04-06
·
在售基金[2012-03-30]
2012-03-30
·
在售基金[2012-03-23]
2012-03-23
·
在售基金[2012-03-16]
2012-03-16
频道精选:
·
[财智]
诚信缺失 家乐福超市多种违法手段遭曝光
·
[财智]
归真堂创业板上市 “活熊取胆”引各界争议
·
[思想]
夏斌:人民币汇率不能一浮了之
·
[思想]
刘宇:转型,还须变革户籍制度
·
[读书]
《历史大变局下的中国战略定位》
·
[读书]
秦厉:从迷思到真相
关于我们
|
版面设置
| 联系我们 |
媒体刊例
|
友情链接
经济参考报社版权所有 本站所有新闻内容未经协议授权,禁止下载使用
新闻线索提供热线:
010-63074375 63072334
报社地址:北京市宣武门西大街甲101号
Copyright 2000-2010 XINHUANET.com All Rights Reserved.京ICP证010042号