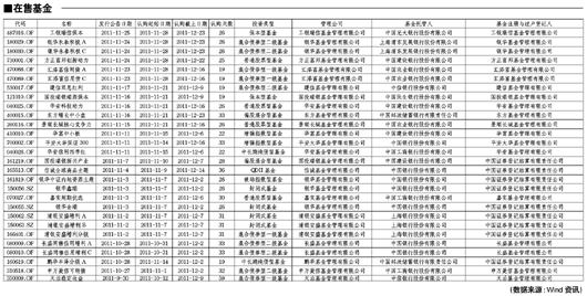
在售基金[2011-12-02]
2011-12-02 作者: 来源:经济参考报
【字号
大
中
小
】
凡标注来源为“经济参考报”或“经济参考网”的所有文字、图片、音视频稿件,及电子杂志等数字媒体产品,版权均属新华社经济参考报社,未经书面授权,不得以任何形式发表使用。
相关新闻:
·
在售基金[2011-11-18]
2011-11-18
·
在售基金[2011-11-04]
2011-11-04
·
在售基金[2011-10-28]
2011-10-28
·
在售基金[2011-10-21]
2011-10-21
·
在售基金[2011-10-14]
2011-10-14
频道精选:
·
[财智]
肯德基曝炸鸡油4天一换 陷食品安全N重门
·
[财智]
忽悠不断 黑幕频现,券商能否被信任
·
[思想]
周继坚:别让“陆地思维”毁了渤海湾
·
[思想]
钮文新:紧缩货币“弊端”凸显
·
[读书]
《五常学经济》
·
[读书]
投资尽可逆向思维 做人恪守道德底线
关于我们
|
版面设置
| 联系我们 |
媒体刊例
|
友情链接
经济参考报社版权所有 本站所有新闻内容未经协议授权,禁止下载使用
新闻线索提供热线:
010-63074375 63072334
报社地址:北京市宣武门西大街甲101号
Copyright 2000-2010 XINHUANET.com All Rights Reserved.京ICP证010042号