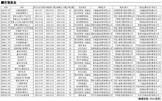
在售基金[2011-03-11]
2011-03-11 作者: 来源:经济参考报
【字号
大
中
小
】
凡标注来源为“经济参考报”或“经济参考网”的所有文字、图片、音视频稿件,及电子杂志等数字媒体产品,版权均属新华社经济参考报社,未经书面授权,不得以任何形式发表使用。
相关新闻:
·
在售基金[2011-01-28]
2011-01-28
·
在售基金[2010-01-21]
2011-01-21
·
在售基金[2011-01-14]
2011-01-14
·
在售基金[2011-01-07]
2011-01-07
·
在售基金[2010-12-31]
2010-12-31
频道精选:
·
[财智]
天价奇石开价过亿元 谁是价格推手?
·
[财智]
存款返现赤裸裸 银行揽存大战白热化
·
[思想]
皮海洲:支持李荣融炒炒股
·
[思想]
叶建平:促进消费的前提是改善民生
·
[读书]
《五常学经济》
·
[读书]
投资尽可逆向思维 做人恪守道德底线
关于我们
|
版面设置
| 联系我们 |
媒体刊例
|
友情链接
经济参考报社版权所有 本站所有新闻内容未经协议授权,禁止下载使用
新闻线索提供热线:
010-63074375 63072334
报社地址:北京市宣武门西大街甲101号
Copyright 2000-2010 XINHUANET.com All Rights Reserved.京ICP证010042号