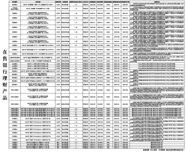
在售银行理财产品[2009-12-04]
    2009-12-04    作者:Wind资讯    来源:经济参考报

  相关稿件
· 在售银行理财产品[2009-11-27] 2009-11-27
· 在售银行理财产品[2009-11-20] 2009-11-20
· 在售银行理财产品[2009-11-13] 2009-11-13
· 在售银行理财产品[图表] 2009-11-06
· 在售银行理财产品【图表】 2009-10-30